Lichaamsgewicht en macronutriënten
Energieverbruik en vetmassaverlies zijn hoger bij diëten hoog in koolhydraten en laag in vet vergeleken met diëten hoog in vet en laag in koolhydraten. Dat blijkt uit een recente meta-analyse van 32 gecontroleerde onderzoeken, waarin koolhydraten en vet isocalorisch werden uitgewisseld. De onderzoekers, dr. Kevin Hall en dr. Juen Guo, zijn verbonden aan het National Institute of Diabetes & Digestive & Kidney Diseases in Bethesda, Maryland.
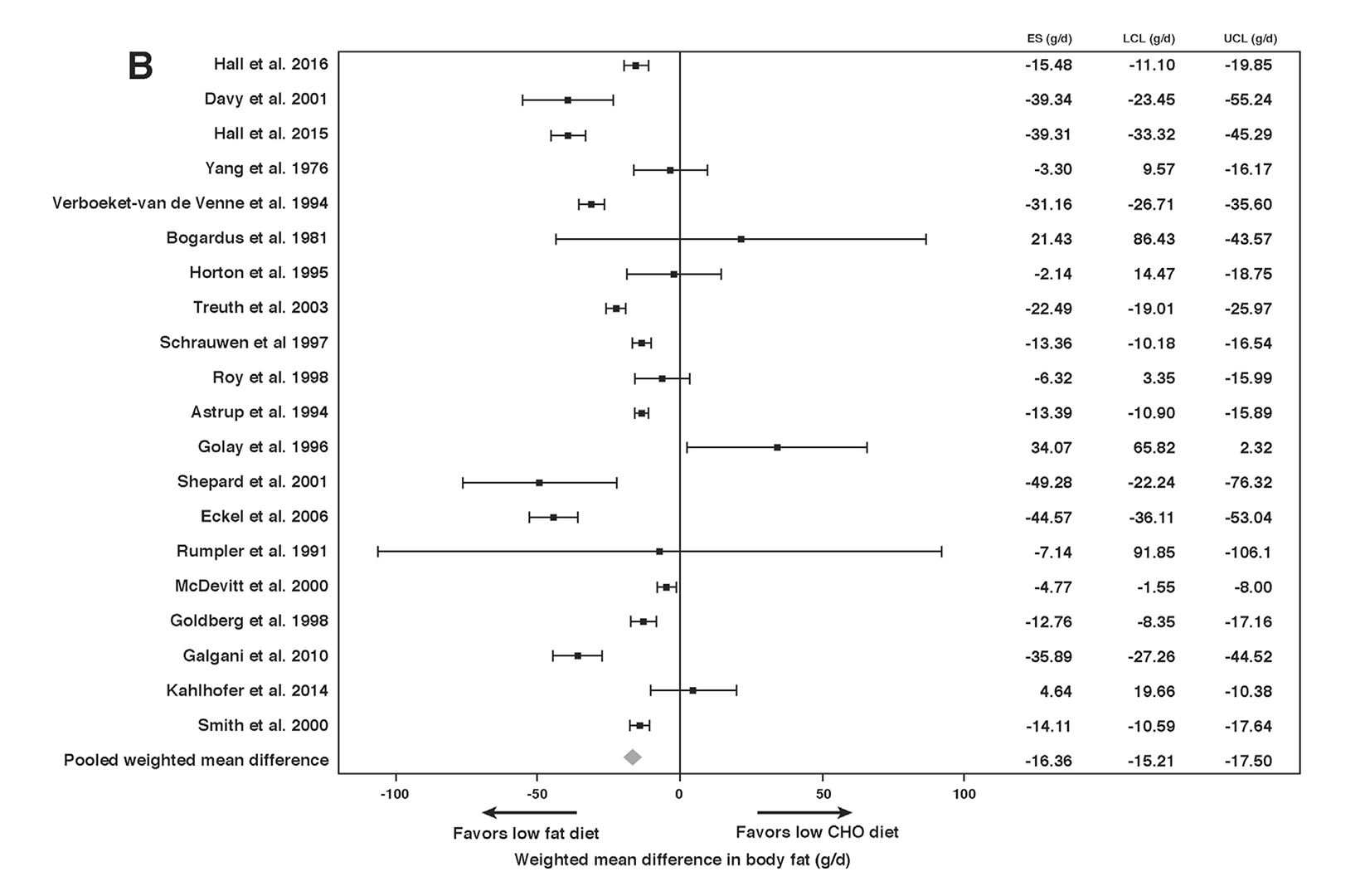
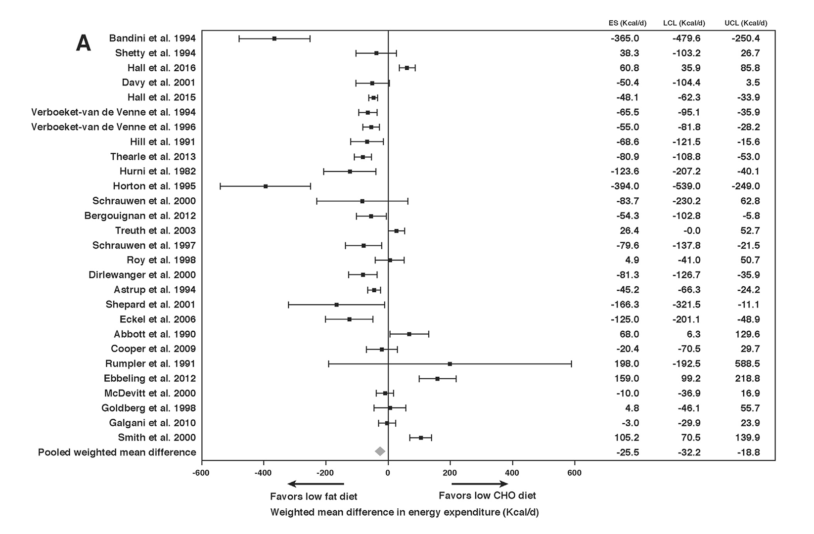
In de 32 geïncludeerde onderzoeken, zaten in totaal 563 proefpersonen en de hoeveelheid koolhydraat varieerde van 1-83% en de hoeveelheid vet van 4-84% van de totale calorie-inname. De hoeveelheid eiwitten en calorieën was gelijk in de geïncludeerde onderzoeken. In de laagvetdiëten was het gemiddelde energieverbruik gemiddeld 26 kcal per dag hoger dan in de hoogvetdiëten (p < 0.0001). De laagvetdiëten scoorden gemiddeld ook hoger wat betreft vetverlies; 16 gram per dag meer dan bij hoogvetdiëten (p < 0.0001). Het effect is echter zo klein dat het fysiologisch niet relevant is. Maar de resultaten zijn tegenovergesteld van wat het populaire ‘koolhydraat-insulinemodel’ voorspelt; namelijk dat koolhydraten specifiek dikmakend zouden zijn omdat ze zorgen voor de afgifte van insuline, wat de opslag van nutriënten stimuleert. Een calorie is dus gewoon een calorie wanneer het aankomt op lichaamsvet en energieverbruik onder deze omstandigheden.
Klik op de afbeelding om te vergroten.
Figuur 1. Overzicht van geïncludeerde isocalorische onderzoeken met verschillende energiepercentages vet en koolhydraat en een gelijke hoeveelheid eiwit en calorieën. A: het verschil in energieverbruik (kcal per dag). B: Het verschil in lichaamsvet (gram per dag)1.
Wel is het mogelijk dat verschillen in de samenstelling van macronutriënten gezondheidseffecten hebben die ongerelateerd zijn aan lichaamsvet of energieverbruik. Ook kan de samenstelling van een voeding invloed hebben op de energie-inname in een ongecontroleerde omgeving, aldus Hall.
Financiering onderzoek:
Het onderzoek is gefinancierd door ‘the Intramural Research Program of the National Institutes of Health, National Institute of Diabetes & Digestive & Kidney Diseases’.
Bron:
1. Hall, K. D. & Guo, J. Obesity Energetics: Body Weight Regulation and the Effects of Diet Composition. Gastroenterology 152, 1718–1727 (2017).



Bent u diëtist, voedingskundige intermediair of beleidsmaker? Dan biedt de informatiemap van Kenniscentrum suiker & voeding u achtergrondgegevens zoals samenvattingen van wetenschappelijke literatuur, verschillende position papers en factsheets. Abonnees ontvangen enkele keren per jaar een update van (delen van) de inhoud.